اعلنت ثانوية التميز العلمي التابعة لشركة معادن بطريف عن أسماء الطلاب المقبولين فيها للعام الدراسي القادم في الصف الأول الثانوي 1440-1441هـ .
كما تم الإعلان عن أسماء المقبولين بثانوية التميز العلمي بعرعر للعام الدراسي 1440-1441هـ .
وسوف يباشر قادة مدارس التميز في عرعر وطريف باجراءات تسجيل الطلاب ووضع خطط التحاقهم بالمدارس مع بداية العام 1440/1441 اعتبارا من يوم الأحد 30 شعبان 1440 هـ الموافق 5 مايو 2019 .
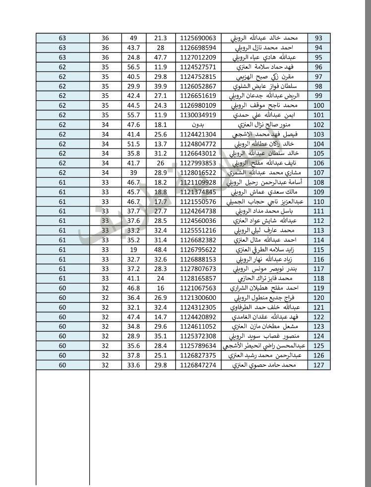
وهي كالتالي :
أسماء المقبولين في مدارس التميز العلمي بعرعر :




































(
(
